言語・LLM

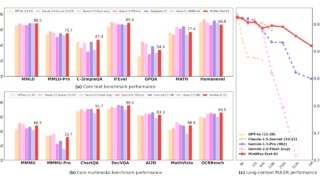
Transformer高速化「Lightning Attention」導入

新しいTransformerアプローチ「Lightning Attention」により計算効率が大幅向上。MiniMax-01シリーズは膨大なトークンを処理し、RLHF学習によりモデルの応答品質と一貫性が向上することが判明。
ニュース

AMD、新型RDNA 4 GPU「RX 9070 XT」発表!AI性能向上で競争力強化

AMDが次世代GPU「Radeon RX 9070 XT」と「RX 9070」を発表!RDNA 4アーキテクチャ採用でレイトレーシング性能2倍、ゲーミング性能40%向上。超解像技術FSR 4にも対応し、2025年3月6日発売予定!
ニュース

OpenAI、新AI「GPT-4.5」発表!対話力と創造性が飛躍

OpenAIが「GPT-4.5」を公開!最大の会話モデルで、直感的な対話と創造的ライティングに期待大。ChatGPT Proユーザー向けに提供開始、教師なし学習がAI発展の基盤に。計算リソースに注意が必要です。
ニュース

Meta、次世代AIスマートグラス「Aria Gen 2」発表!

Metaが次世代AIスマートグラス「Aria Gen 2」を発表!多数のセンサーとAI支援で視覚障害者ナビゲーションなど多様なサポートを提供。研究者向け「Ariaリサーチキット」も申請受付中!未来のAI技術に向けた研究が期待されます。
ニュース

Inceptionが「Mercury Coder」発表!従来比10倍高速なAIモデル

Inceptionが新AIモデル「Mercury Coder」を発表!従来のモデルより最大10倍高速でテキスト生成。画像や動画で使われる拡散型手法を応用し、6秒で出力可能。デモサイトやHugging Faceで試用可能。
ニュース

Amazon、次世代AIアシスタント「Alexa+」発表!

Amazonが次世代AIアシスタント「Alexa+」を発表!月額19.99ドルでより高度な会話機能を提供。プライム会員は追加料金なし。AI技術で生活管理が可能に。Echoデバイスやアプリでの利用が可能。リアルタイム情報提供を含む多機能が話題に。
ニュース

Google、新無料AIコードアシスト「Gemini」発表!

Googleが新たなコーディング補助AI「Gemini Code Assist for individuals」を公開!1日最大6000回、月間18万回までのコード補完をサポートし、チャット形式での質問にも対応可能。
ニュース

Adobe、スマホ版Photoshopを発表!AI機能も搭載

Adobeがスマートフォン版Photoshopを発表!無料版でも基本編集が可能で、プレミアム機能を利用すれば高度な編集ツールやAdobe Fontsにアクセスができます。スマホとWeb版の連携でワークフローが更に便利に!
ニュース

Allganize、業務効率化AIエージェントを提供開始!

Allganize JapanがAIエージェント「Alli Agent」を提供開始!営業や広告審査を支援する4つのエージェントをリリース。さらに、企業向けに独自エージェント開発を支援する「Alli Agent Builder」も計画中。
ニュース

Anthropic、新AI「Claude 3.7 Sonnet」発表!推論強化で性能向上

Anthropicが最新AIモデル「Claude 3.7 Sonnet」とAIエージェント搭載ツール「Claude Code」を発表!迅速な応答と複雑な問題解決に対応し、開発業務も支援。